Washington Civil Jury Instructions Westlaw . It is provided under contract with the Washington Supreme Court Committee on Jury Instructions to provide free public access to the full text of the Washington Pattern Jury Instructions..
Washington Civil Jury Instructions Westlaw from s3.amazonaws.com
Pattern Jury Instructions. The Washington Pattern Instructions (WPI) Committee is pleased to announce that the state’s pattern jury instructions are available to the public on a free web.
Source: store.lexisnexis.com
Washington (State) Civil Jury Instructions Criminal Jury Instructions West Virginia Criminal Jury Instructions (pdf) Wisconsin Specific jury instructions may be ordered from the.
Source: cdn.uslegal.com
Washington State Supreme Court Committee on Jury Instructions Part XXI. Nuisance Chapter 380. Nuisance WPI 380.00 Introduction This chapter sets forth pattern instructions for some.
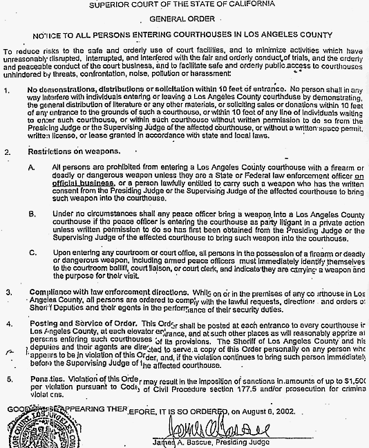
Source: www.highwayrobbery.net
During trial: 1. DO arrive on time and DO return promptly after breaks and lunch. The trial cannot proceed until all jurors are... 2. DO pay close attention. If you cannot hear what is being said,.
Source: cdn.uslegal.com
Examples are actions arising from landlord and tenant disputes, personal injuries, breach of warranty on consumer goods, contract disputes, adoptions, marriage dissolutions.
Source: cdn.uslegal.com
Home › Manual of Model Civil Jury Instructions › 5. Damages 5.6 Nominal Damages 5.6 Nominal Damages The law that applies to this case authorizes an award of nominal damages. If you find.
Source: cdn.uslegal.com
Civil Jury Instructions: Generic Set of Opening Instructions (PDF) Civil Final Jury Instructions (PDF) Counsel are provided this preliminary set of jury instructions for two reasons. First, so.
Source: store.lexisnexis.com
Washington pattern jury instructions. Civil, WPI. [Washington (State). Supreme Court. Committee on Jury Instructions.;] Home. WorldCat Home About WorldCat Help. Search. Search.
Source: www.dogsbite.org
Court of Appeals Division III Will Hear Cases at a Yakima High School October 24. The Washington State Court of Appeals, Division III, will hear oral arguments outside of its regular Spokane.
Source: m.media-amazon.com
A section on general instructions covers introductory instructions; definitions of terms; and instructions involving multiple charges and joint defendants, burden of proof and reasonable.
Source: cdn.uslegal.com
6B Washington Practice – Civil Jury Instruction Handbook (2013). KFW80.W37 – Third Floor Also available on Westlaw 11 & 11A Washington Supreme Court Committee on Jury.
Source: cdn.uslegal.com
Washington Pattern Jury Instructions Civil Highlights About the Author Preliminary Materials Part I. General Instructions Part II. Negligence—Risk—Misconduct—Proximate Cause Part III..
Source: cdn.uslegal.com
You may access the online Washington Pattern Jury Instructions through the following links: Washington Civil Jury Instructions. Washington Criminal Jury Instructions. Click here for.
Source: cdn.uslegal.com
Do not bring children when reporting for jury duty. Compensation. Compensation is $10 per day and mileage at rates established by the State of Washington. Information. Call (509) 735-8388.
Source: cdn.uslegal.com
Use this instruction when the jury has not been given WPI 21.01 (Meaning of Burden of Proof—Preponderance of the Evidence). If there is an alternative claim involving preponderance.
Source: cdn.uslegal.com
Welcome to the newly enhanced site for the Washington Civil Jury Instructions. This site has been upgraded to assure you a positive Thomson Reuters Westlaw experience. This website is.
Source: cdn.uslegal.com
Washington State Court Rules. In October 2019, the Administrative Office of the Courts, with the assistance of the Reporter of Decisions office and web services team, reviewed the.
Source: store.lexisnexis.com
Washington Pattern Jury Instructions Civil Highlights About the Author Preliminary Materials Part I. General Instructions Part II. Negligence—Risk—Misconduct—Proximate Cause Part III..
Source: cdn.uslegal.com
Use this instruction only if (1) there is evidence creating an issue of fact as to the injured person's failure to exercise ordinary care in minimizing or avoiding damages, and (2) the.
0 komentar